计算机可靠性模型
发布时间
阅读量:
阅读量
N模冗余系统
N模冗余系统由N个(其中N=2n+1)等同的子系统以及一个决策器构成。被过半数相同结果的输出所确定的决策器决定了系统的输出。如图所示:

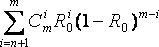
在由N个子系统构成的系统中,只要其中超过n个的子系统能够正常运行,就能获得正确的计算结果.假设采用的多数表决器是完全可靠的,每个子系统的可靠性均为R₀,则可求得该系统的失效率为

串联系统和并联系统
R=R1*R2*R3*...*Rn
R=1-(1-R1)(1-R2)(1-R3)(1-R4)...(1-Rn)
全部评论 (0)
还没有任何评论哟~
