【医学影像】超声(UltraSound)影像的增强与目标检测
文章目录
-
1 综述
-
- 1.1 超声发展简史
- 1.2 超声类型
-
2 超声影像的降噪与增强效果优化
-
2.1 基于各向异性扩散的降噪模型设计
- 2.2 视网膜增强算法中的色彩恢复技术SSR和MSR
- 2.3 改进型MSRCR增强算法设计(基于对MSR算法的优化)
- 2.4 参考文献部分
-
3 超声影像的目标识别
-
- 3.1 基于跨模态数据迁移进行DL训练
- 3.2 参考文献
-
1 综述
为了更好地支持工作开展,在工作中不可避免地需要收集大量信息以辅助决策。近期重点收集了超声(Ultrasound)成像技术的相关文献资料(包括官方发布的书籍、权威期刊论文等),内容涵盖超声类型、超声图像去噪与增强技术、基于超声目标检测的方法以及与CT/MRI多模态数据融合配准技术等相关内容。通过系统性的归纳整理工作,并整理出完整的知识框架供参考学习。
本人另一博文深入探讨了超声(UltraSound)图像与 CT/MRI 多模态融合配准,诚挚邀请大家积极参与讨论和交流。
超声医学的应用领域十分广泛,在现代临床医学中扮演着十分重要的角色。当前腹部超声诊断技术已经能够提供各器官切面的形态结构信息以及某些生理功能指标如血流动力学参数等信息,并且特别有助于评估各器官组织的血流灌注情况(如肾衰竭患者双侧肾脏体积缩小及血流灌注分布情况)。此外该种影像学方法与X线 computed tomography (CT)、磁共振成像 (MRI)以及核医学影像技术等共同组成了现代医学影像学的核心组成部分并以其显著优势(具有价格低廉的优势以及动态成像的独特之处)逐步得到越来越广泛的临床应用
1.1 超声发展简史
超声医学 (ultrasonic medicine)是利用超声波的物理特性与人体器官、组织的声学特性相互作用后得到诊断或治疗效果的一门学科。向人体发射超声,并利用其在人体器官、组织中传播过程中,由于声的透射、反射、折射、衍射、衰减、吸收而产生各种信息,将其接收、放大和信息处理形成波型、曲线、图像或频谱,籍此进行疾病诊断的方法学,称为声诊断学(ultrasonic diagnostics)超利用超声波的能量(热学机制、机械机制、空化机制等),作用于人体器官、组织的病变部位,以达到治疗疾病和促进机体康复的目的方法学,称为超声治疗学(ultrasonic therapeutics)。
超声治疗 (ultrasonic therapy)的应用早于超声诊断,1922年德国就有了首例超声治疗机的发明专利,超声诊断到1942年才有德国Dussik应用于脑肿瘤诊断的报告。但超声诊断发展较快,20世纪50年代国内外采用A型超声仪,以及继之问世的B型超声仪开展了广泛的临床应用,至20世纪70年代中下期灰阶实时(grey scale real time)超声的出现,获得了解剖结构层次清晰的人体组织器官的断层声像图,并能动态显示心脏、大血管等许多器官的动态图像,是超声诊断技术的一次重大突破,与此同时一种利用多普勒(Doppler)原理的超声多普勒检测技术迅速发展,从多普勒频谱曲线能计测多项血流动力学参数。20世纪80年代初期彩色多普勒血流显示(Color Doppler flow imaging, CDFI)的出现,并把彩色血流信号叠加于二维声像图上,不仅能直观地显示心脏和血管内的血流方向和速度,并使多普勒频谱的取样成为快速便捷,80 ~ 90年代以来超声造影、二次谐波和三维超声的相继问世,更使超声诊断锦上添花。
1.2 超声类型
A型超声 检测仪采用振幅调制法进行诊断操作。由于英文单词"amplitude"以字母"A"开头,在此基础之上形成了A型超声检测技术。该技术通过回响振幅的大小与波流密度来表现组织特性。纵坐标代表回响信号强度、横坐标则表示回响时间或距离关系。常用A型超声诊断仪用于评估器官大小、组织界面间距以及病变的声学特征。

B型超音波诊断是一种基于亮度调制技术的方法。该方法之所以被称为B型超音波诊断是因为其名称的第一个字母为'B'。通过观察各点状回响的明暗变化来显示病变情况:强度越高则对应的区域会越明亮;强度较低则会相应变暗。当探头的声束沿着一定顺序移动时:此时示波屏上的各点状回响随之同步变动。由于这种扫描操作所形成的切面超音波图像呈现出二维特征:因此它具备高度的真实性、直观易懂以及易于操作等特点。

M型超声诊断仪是一种基于单一方向的距离测量技术所形成的随时间变化的曲线图形,在心脏检查领域被用作单声束超声心动图的一种实施检查程序。该装置通过将各层组织结构的回声信号转换为点状反馈显示在屏幕上,并实时追踪这些点状回声沿垂直方向的位置变化情况。当心脏发生节律性跳动时,这些点状回声呈现上下移动的状态。此时,在示波管水平偏转板上施加一对代表时间轴向运动特征的时间扫描锯齿波形信号(即慢扫描),从而使这列点状回声沿着水平方向缓慢扫过屏幕区域。这种操作使得各层组织与探测器之间的相互作用过程得以动态记录并形成图像:垂直方向上反映的是人体深度信息的变化情况(即各层组织与探测器间的纵向距离),而水平方向则直接反映了时间轴上的运动特征信息(即心肌收缩舒张周期的变化)。由于探测器位置固定不变,在此过程中心肌有规律地收缩与舒张会导致其各层组织与探测器之间的纵向距离发生周期性节律性的改变;从而导致被测组织体内的超声反射信号也随之发生变化并被实时捕捉到系统中进行处理分析;最终完成对心脏运动状态及其各层次动态特性信息的有效采集与综合判断功能实现

彩色多普勒超声显像技术 (CDFI),亦称作彩色血流图(CFM),是大家所熟知的彩超的一种形式。它建立在二维超声波显像的基础之上,并通过实时的颜色编码来展示血液流动的情况,在屏幕上不同颜色代表不同的血液流动方向和速度。彩超仪通常将靠近探头的一侧配置为红色,在远离探头的一侧则配置为蓝色。而对于湍流与分流的现象,则以多种颜色交错分布的形式表现出来。

新型D型超声检查系统是一种用于评估运动内脏器官及其血液流动状态的技术工具。此类检查系统基于多普勒效应原理。该技术用于评估运动状态下内脏器官及其血液流动特征。根据其工作模式的不同性质,在此分类中可将其划分为连续波与脉冲波两种类型。与另一种方法相比,在此分类中采用的是基于血液频谱的技术。

2 超声影像的去噪与增强
在同一场景下拍摄的不同角度的图像呈现出不同的成像特性。由于在超声成像过程中因人体组织存在不均匀特性而导致叠加产生的散射回波形成斑状噪声,这严重降低了超声图像的质量和分辨率。这种现象使得对病灶区目标特征提取和分析变得困难。因此有必要对图像进行预处理工作,通过去除与图像无关的信息来增强细节信息的可检测性。目前常用的去噪方法有:小波变换、奇异值分解以及傅里叶变换等
2.1 各向异性扩散去噪模型
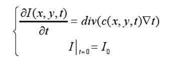
该方法不仅在超声图像降噪方面表现优异,并且能够有效保留细节信息。这使其成为后续图像特征提取的重要基础。各向异性扩散模型是由Malik和Perona提出的,并被用作图像预处理的工具。其主要原理是以时间t作为高斯核G方差与噪声图像进行卷积运算,并使用待处理图像I₀作为媒介进行可变速率扩散处理。热扩散方程如公式所示。

其中I(x,y,t)表示原始图像;变量t作为顺序参数;扩散过程会随着时间的推移而演化;即迭代次数。c(x,y,t) 和 div 分别代表 扩散系数、梯度算子 和 散度算子(其大小取决于梯度强度),一般取I(x,y,t)=g(I(x,y,t))。
2.2 色彩恢复的视网膜增强算法SSR和MSR
该方法在彩色图像增强与恢复方面展现出色性能,在两个关键指标——色彩饱和度与边缘保真度之间实现了良好的平衡,在此基础上相较于现有的多种图像增强算法能够实现不同类型图像中的自适应性提升。


2.3 MSRCR增强算法(基于MSR算法改进版)
该方法首先通过公式(3-16)计算色度特征值,在此过程中定义K代表光谱通道的数量,在标准RGB颜色空间中K通常取值为3。随后将上述计算结果映射至目标颜色空间中以获得方程组形式(如式3-17),并重新表述右侧部分为方程组形式(如式3-18)。在这一过程中定义( S_i(x, y) )表示第i个通道对应的图像区域,在此基础上引入参数Ci用于平衡RGB三个通道的颜色权重分配系数,并引入增益常数β和非线性调节因子α来控制色彩重建的程度。经过上述步骤的完整推导后得到最终的MSRCR模型表达式(如式(3-19)所示)。



MSRHSV方法是在MSRCR算法框架下通过HSV颜色通道实现增强效果;
MSRCP方法是在MSRCR算法框架下实现了色彩平衡。
2.4 参考文献
1
3 超声影像的目标识别
在医学领域的标注数据资源相对匮乏时,在现有条件下基于超声影像数据与其在自然图像或不同医学领域中的影像数据间的关联性,实现跨学科和多模态的数据类型迁移,在有限的超声标注样本基础上促进来自其他领域的知识对深度学习模型的影响
3.1 基于跨模态数据迁移进行DL训练
基于医学影像多模态间的特征迁移研究的基础上,在综合分析现有技术特点的基础上,在深入研究现有技术特点的基础上
鉴于各器官内部存在的复杂疾病谱以及各器官内部存在的复杂疾病谱以及各器官间组织特性之间的显著差异性

3.2 参考文献
【1】《超声造影病灶区目标跟踪方法的研究》2018硕士论文;
有错误之处请多多指教哈!!
