【MOOC】数字信号处理-电子科技大学-第三周 - 离散时间信号的变换域分析-DTFT
发布时间
阅读量:
阅读量
3.1 信号变换域分析的重要性
简单来说,就是换个角度看问题 。在时域上做不到或者很难做到的事情,换在频域上可能就简单许多了。
比如:
1.时域上的微分方程 通过 s变换 就可转换为 代数方程

2.时域上的差分方程 通过 z变换 就可转换为 代数方程

3.2 从CTFT到DTFT
这一部分的主题是:DTFT可以从CTFT推导出来
对于CTFT:

其变换对为:


对于信号xa(t),假设通过冲击串采样信号p(t),得到xp(t)。

则有:
根据傅里叶变换(CTFT)的线性性质,有:
对应xp(t),更换下标为正整数,得到x[n]:

则
,且有
令
(这个可以认为是为了方便表示而引入的) ,则有
,这便是DTFT.
注意:对于x[n]的n的理解,在这里有比较明显的体现,正整数n对应的就是采样结果函数xp(t)的n*Ts的n。
3.3 DTFT的定义
对于DTFT:

其变换对为:

(从这里可以看到:x[n]是
的傅里叶级数展开式的系数)

此外,
也有其他表示形式:

其中,
周期性
由于DTFT满足:

则
是关于w的周期函数,T=2*pi。
共轭对称性
若x[n]为实序列,则有

并且有:

(这个性质经常用到,需要记下来)
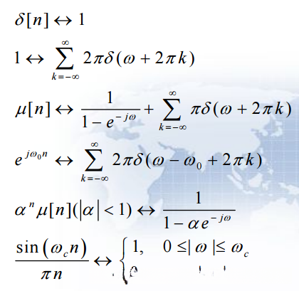
常用傅里叶变换对:

3.4 DTFT的性质


在求某些信号的DTFT时,需要注意有如下等价条件成立:
=
这个(类)性质会经常用到。
全部评论 (0)
还没有任何评论哟~
