Price-aware Recommendation with Graph Convolutional Networks阅读笔记
本笔记只记关键点,不能当做中文版论文详解来读
摘要
用户价格因果推断难点:
- 用户对品的价格偏好和敏感度是未知的,仅隐式存在于用户已购买的商品中
- 用户对商品价格的感知和承受能力在不同类别之间可能会有很大差异
解法:
- 借助GCN对用户-品、品-价格之间的传递关系进行建模
- 把商品类目加入到图网络传播过程中
引言
推荐系统常用获取用户兴趣品的方法:
- 协同过滤 collaborative filtering,把任务转换为完成user-item消费矩阵,并将变信息合并到CF中,例如文本属性、分类人口统计学资料、产品图片等
- 为了能综合利用上面的不同数据,有了FM以及FM与神经网络结合的一些模型
随着电商和餐饮推荐的发展,用户是否会最终购买不仅取决于用户对商品的类目的需要,还强烈依赖于商品价格。
商品价格和其他属性共同影响用户 is willing to pay (WTP) or not,只有商品用户喜欢且价格可接受时用户才会购买。WTP is defined as the highest acceptable price of an item atwhich a user is willing to pay
直接把价格作为连续特征(数值)或离散特征加入到FM这样的统一模型中,并不能解决前面说的两大挑战,因此依旧不能get到永辉对价格的敏感度。
问题定义
wedefine CWTP as the highest price a given user is willing topay for items of a given category. Therefore, for a user whointeracted with items of multiple categories, she will havemultiple CWTP values (one for a category).

Let U and I denote the sets of users and items, andRM×Ndenote the utility (user-item interaction) matrix whereMandNare the number of users and items. Here, an observed interaction Rui = 1 in R means user u once purchased item i. We use p={p1,p2,…,pN} and c={c1,c2,…,cN} to denote the price and category of items.
文中价格特征用离散变量表示。假设一类商品的最高价是max,最低价是min,某一商品售价N,则其price level = \left \lfloor \frac{N-min}{max-min}\times 10 \right \rfloor =2
Input: interaction matrix R, price of items p and category of items c.
Output: The estimated probability of purchasing behaviorgiven a user-item pair(u,i).
Method
- 明确引入价格作为价格节点
- 进一步在图中添加类别节点
- GCN as encoder
- airwise interaction-based decoder 估计交互概率
两个分支:(1)global branch: 一个分支关注用户兴趣,建模价格来表示用户整体购买力(与类目无关)(2)category branch: 另一个分支关注价格因素的类目依赖影响
注意,我们对category和price使用单独的节点类型,而不是对(category,price)的交叉特性使用单个节点类型,以避免冗余参数。从直观上看,同一类别不同价格的商品具有相同的功能相似性。同时,来自不同类别的相同价格的商品也反映出相似的价格意识。因此,单一类型的交叉特征缺乏上述两种情况的联系。通过对类别和价格应用不同的节点类型,可以在图中捕捉到不同层次的语义相似性。

通过为价格和类别分配单独的节点,可以直接而明确地获取价格和类别,从而减轻了上述两种价格感知产品推荐的困难。具体地说,将隐式的价格感知转化为异构图上的高阶邻域邻近性,这种邻域邻近性可以被图卷积网络很好地捕获。通过将商品节点与价格节点和类别节点相连接,可以缓解依赖于类别的影响问题
Latent factor model (LFM). In this paper, we extend traditional LFMsthat only learn representations for users and items, and tryto learn representations of four types of entities in the samelatent space.
encoding module:
- embedding layer for converting one-hot input to low-dimensional vectors.
- embedding propagation layer to capture both CF effect and price awareness;
- neighbor aggregation layer:to modelneighbor similarity
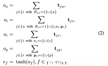
The propagated embedding from nodejto nodeiisformulated as follows:

where N_ i denotes the set of neighbors for node i and e^′_j is the embedding of node j retrieved from the embedding layer.
节点 i 也包含在N_ i 中


当我们将用户、商品、类别和价格表示为一个统一的异构图上的四种类型的节点时,不同类型节点的学习表示共享相同的相关空间。受分解机[12]的启发,分解机将所有特征分解到一个共享的潜在空间中,并通过获取每对特征向量的内积来估计交互作用,我们采用了一种遵循FM方式的解码器。形式上,使用与前一个编码器部分相同的符号,用户u and item i of category和价格p之间的估计购买概率可公式如下:

最终结果通过超参数\alpha把两个分支合并起来
损失函数: Bayesian Personalized Ranking (BPR) .The BPR loss induces the model to rank the positive samples (interacted items) higher than negative samples (unobserved interactions).

here O denotes the set of positive-negative sample pairs and σ stands for sigmoid function. The second term of equation(4) performs L2 regularization where Θ stands for model parameters and λ controls the penalty strength.
