python二手房价格预测_Python爬取赶集网北京二手房数据&R对爬取的二手房房价做线性回归分析...
前言:本文主要分为两部分:Python爬取赶集网北京二手房数据&R对爬取的二手房房价做线性回归分析。文章思路清晰,代码详细,特别适合刚刚接触Python&R的同学学习参考。
Part1:Python爬取赶集网北京二手房数据
入门爬虫一个月,所以对每一个网站都使用Xpath、BeautifulSoup、正则三种方法分别爬取,用于练习巩固。数据来源如下:

本文使用BeautifulSoup讲解。
Xpath传送门:Xpath+requests爬取赶集网北京二手房数据
importrequestsimportrefromrequests.exceptionsimportRequestExceptionfrombs4importBeautifulSoupimportcsvimporttimeheaders={'User-Agent':'Mozilla/5.0(WindowsNT10.0;WOW64)AppleWebKit/537.36(KHTML,likeGecko)Chrome/55.0.2883.87Safari/537.36'}defget_one_page(url):try:response=requests.get(url,headers=headers)ifresponse.status_code==200:returnresponse.textreturnNoneexceptRequestException:returnNonedefparse_one_page(content):try:soup=BeautifulSoup(content,'html.parser')items=soup.find('div',class_=re.compile('js-tips-list'))fordivinitems.find_all('div',class_=re.compile('ershoufang-list')):yield{'Name':div.find('a',class_=re.compile('js-title')).text,'Type':div.find('dd',class_=re.compile('size')).contents[1].text,#tag的.contents属性可以将tag的子节点以列表的方式输出'Area':div.find('dd',class_=re.compile('size')).contents[5].text,'Towards':div.find('dd',class_=re.compile('size')).contents[9].text,'Floor':div.find('dd',class_=re.compile('size')).contents[13].text.replace('\n',''),'Decorate':div.find('dd',class_=re.compile('size')).contents[17].text,'Address':div.find('span',class_=re.compile('area')).text.strip().replace('','').replace('\n',''),'TotalPrice':div.find('span',class_=re.compile('js-price')).text+div.find('span',class_=re.compile('yue')).text,'Price':div.find('div',class_=re.compile('time')).text}#有一些二手房信息缺少部分信息,如:缺少装修信息,或者缺少楼层信息,这时候需要加个判断,不然爬取就会中断。ifdiv['Name','Type','Area','Towards','Floor','Decorate','Address','TotalPrice','Price']==None:returnNoneexceptException:returnNonedefmain():foriinrange(1,50):url='http://bj.ganji.com/fang5/o{}/'.format(i)content=get_one_page(url)print('第{}页抓取完毕'.format(i))fordivinparse_one_page(content):print(div)withopen('Data.csv','a',newline='')asf:#Data.csv文件存储的路径,如果默认路径就直接写文件名即可。fieldnames=['Name','Type','Area','Towards','Floor','Decorate','Address','TotalPrice','Price']writer=csv.DictWriter(f,fieldnames=fieldnames)writer.writeheader()foriteminparse_one_page(content):writer.writerow(item)time.sleep(3)#设置爬取频率,一开始我就是爬取的太猛,导致网页需要验证。if__name__=='__main__':main()
对于小白容易遇见的一些问题:
a、有一些房屋缺少部分信息,如缺少装修信息,这个时候需要加一个判断,如果不加判断,爬取就会自动终止。我在这里跌了很大的坑。
b、Data.csv知识点存储文件路径默认是工作目录,关于工作目录传送门:python中如何查看工作目录
c、爬虫打印的是字典形式,每一个房屋信息都是一个字典,由于对Python中excel相关库是我知识盲点,所以爬虫的时候将字典循环直接写入CSV。
pycharm中打印如下:

图一
将字典循环直接写入CSV效果如下:

图二
d、很多初学者对于Address这种不知道如何处理,这里强调一下BeautifulSoup中.contents的用法,亲身体会,我在这里花了好多时间才找到答案。

图三
Part2:R对爬取的二手房房价做一般线性回归分析
下面我们用R对抓取的赶集网北京二手房数据做一些简单的分析。
2.1、数据的说明
Name:主要是商家的醒目标题,分析的时候没有啥参考意义
Type:卧室数、客厅数、卫生间数
Area:面积(平方米)
Towards:朝向
Floor:楼层
Decorate:装修情况如:精装修、简单装修、毛坯房
Address:二手房的地址
TotalPrice:总价
Price:均价(元/平方米)
2.2、数据清洗
data

图四
#在爬取的时候加入了判断,所以不知道爬取的数据中是否存在缺失值,这里检查一下colSums(is.na(DATA))

图五
#这里将Type的卧室客厅和卫生间分为三个不同的列##这里需要注意,有一些房屋没有客厅如:1室1卫这时候需要单独处理,还有一些没有厕所信息。library(tidyr)DATA=separate(data=DATA,col=Type,into=c("Bedrooms","Halls"),sep="室")DATA=separate(data=DATA,col=Halls,into=c("Halls","Toilet"),sep="厅")##将卫生间后面的汉字去掉DATA$Toilet

图六
##这里将Area后的㎡去掉DATA$Area

图七
##将数据转换格式DATA$Bedrooms

图八
以上数据清洗完毕。
Part3:描述性分析
主要思路是探究单个自变量对因变量的影响,对房价的影响因素进行模拟探究之前,首先对各变量进行描述性分析,已初步判断房价的影响因素。这里探究各个因素对总价影响。
3.1探究Bedrooms与TotalPrice的关系
table(DATA$Bedrooms)1234567954112257791931022051##由于拥有6、7、9个卧室数的数量较少,这里我们排出这些数据。DATA

图九
DATA$Bedrooms
不同卧室数,TotalPrice不同,且随着卧室数的增多,总价越高,符合大众的认知。
3.2探究Halls与TotalPrice的关系
table(DATA$Halls)01234592016741050771810##5个客厅只有一个个体,我们这里将其排出DATA

图十
客厅数为3时候总价最高,客厅数为0、1和2的时候总价低于客厅数3和客厅数4。
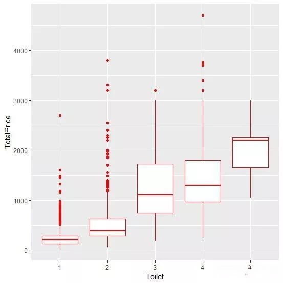
3.3探究Toilet与TotalPrice的关系
#探究卫生间与总价的关系table(DATA$Toilet)012345679221424701167426720#这里将卫生间数为0、6和7的去掉DATA

图十一
一般卧室数越多,卫生间数也越多,即卫生间数越多,总价越高。
3.4探究Area与TotalPrice的关系
ggplot(DATA,aes(x=Area,y=TotalPrice))+geom_point(col='red')

图十二
这个完全符合住房面积越大,总价越高。
3.5探究Towards与TotalPrice的关系
ggplot(DATA,aes(x=Towards,y=TotalPrice))+geom_boxplot(col="red")

图十三
3.6探究Floor与TotalPrice的关系
ggplot(DATA,aes(x=Floor,y=TotalPrice))+geom_boxplot(col="red")

图十四
图中信息显示楼层一共只有1、2、3、地下的总价较高。
3.7探究Decorate与TotalPrice的关系
ggplot(DATA,aes(x=Decorate,y=TotalPrice))+geom_boxplot(col="red")

图十五
不同装修信息对总价影响较小。
Part4:模型建立
fit|t|)(Intercept)-112.763388.3010-1.2770.201697Bedrooms2-43.593416.2533-2.6820.007359Bedrooms3-82.656520.7641-3.9817.04e-05Bedrooms4-63.309634.9521-1.8110.070198.Bedrooms579.061854.07631.4620.143842Halls1-5.066364.2764-0.0790.937182Halls2-53.890565.4427-0.8230.410307Halls3-303.975079.2280-3.8370.000127Halls4-528.5427104.0849-5.0784.07e-07Toilet2112.956619.11715.9093.87e-09**Toilet3543.730438.805614.012< 2e-16 ***Toilet4 735.1894 55.0977 13.343 < 2e-16 ***Toilet5 338.7906 84.2851 4.020 5.98e-05 ***Area 5.1091 0.1619 31.557 < 2e-16 ***Towards东北向 138.9088 79.3817 1.750 0.080248 . Towards东南向 187.1895 68.5388 2.731 0.006351 ** Towards东西向 176.3055 65.8384 2.678 0.007453 ** Towards东向 210.9435 73.2744 2.879 0.004022 ** Towards南北向 75.7831 57.1199 1.327 0.184704 Towards南向 60.1949 56.9678 1.057 0.290763 Towards西北向 75.4326 71.1415 1.060 0.289091 Towards西南向 169.8106 75.9626 2.235 0.025467 * Towards西向 234.0816 76.5585 3.058 0.002253 ** Floor地下 -812.3578 63.3277 -12.828 < 2e-16 ***Floor高层 12.3525 14.2466 0.867 0.385991 Floor共1层 -313.7278 52.1342 -6.018 2.00e-09 ***Floor共2层 -453.3692 41.6829 -10.877 < 2e-16 ***Floor共3层 -601.7032 44.3336 -13.572 < 2e-16 ***Floor共4层 -183.7866 36.3396 -5.057 4.52e-07 Floor共5层 -41.4184 25.7922 -1.606 0.108419 Floor中层 -1.7223 13.5961 -0.127 0.899204 Decorate简单装修 -63.1591 22.0584 -2.863 0.004224 ** Decorate精装修 -49.3276 19.8544 -2.484 0.013033 * Decorate毛坯 -157.0299 24.3012 -6.462 1.22e-10 ---Signif. codes: 0 ‘’ 0.001 ‘’ 0.01 ‘’ 0.05 ‘.’ 0.1 ‘ ’ 1Residual standard error: 265.5 on 2794 degrees of freedomMultiple R-squared: 0.6852, Adjusted R-squared: 0.6815 F-statistic: 184.3 on 33 and 2794 DF, p-value: < 2.2e-16
模型的F检验拒绝原假设,说明建立的模型是显著的;AjustedR-squared为0.6815,模型的拟合程度尚可接受。
后面还有模型的检验,之后有机会会进行更深入的探讨。
