距离度量方法
发布时间
阅读量:
阅读量
距离定义
假设有n维向量a、b、c,则定义距离满足以下三个条件:
1)非负性:d(a,b)>=0,当且仅当a=b时,d(a,b)=0;
2)对称性:d(a,b)=d(b,a);
3)三角不等式:d(a,b)<=d(a,c)+d(c,b)
距离度量方法
在特征空间中,取出两个特征
,它们分别是n维的特征向量
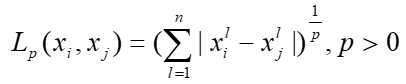
(1)明可夫斯基距离(闵可夫斯基距离)

明可夫斯基距离三种特殊而常见形式:曼哈顿距离、欧氏距离、切比雪夫距离(p=1、2、∞)。
在明考夫斯基距离中,p值越大,其受(较大的)异常值影响就越厉害。可以发现当p=∞时,切比雪夫距离将完全由最大的异常值决定。同理,欧式距离比曼哈顿距离受异常值的影响程度更高。
(2)曼哈顿距离

(3)欧几里得距离

(4)切比雪夫距离

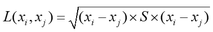
(5)马氏距离

S为协方差矩阵。
全部评论 (0)
还没有任何评论哟~
