信息熵的计算公式_信息熵、条件熵、联合熵、互信息、相对熵、交叉熵
点击上方“机器学习与统计学 ”,选择“置顶”公众号
重磅干货,第一时间送达

信息熵、联合熵、条件熵、互信息的关系
1、信息量
信息量是通过概率来定义的:如果一件事情的概率很低,那么它的信息量就很大;反之,如果一件事情的概率很高,它的信息量就很低。简而言之,概率小的事件信息量大,因此信息量可以定义如下:
下面解释为什么要取倒数再去对数。
(1)先取倒数: 这件事表示:“信息量”和“概率”呈反比;
(2)在取对数: 取对数是为了将区间
映射到
。
再总结一下:
2、信息熵
信息熵是信息量的数学期望。理解了信息量,信息熵的定义式便不难理解。定义如下:
-
熵越小表示越“纯”,决策树算法在进行特征选择时的其中标准之一 就是选择使得通过该特征分类以后的类的熵最小;
-
上面是熵越小越好,而有的时候,我们需要熵越大越好,简单来说就是“鸡蛋不要放在一个篮子里”(见吴军《数学之美》),最大熵原理就是这样,这部分内容可以参考李航《统计机器学习》逻辑回归模型相关部分。
3、条件熵
条件熵的定义为:在 给定的条件下,
的条件概率分布的熵对
的数学期望。
条件熵一定要记住下面的这个定义式,其它的式子都可以由信息熵和条件熵的定义式得出。
理解条件熵可以使用决策树进行特征选择的例子:我们期望选择的特征要能将数据的标签尽可能分得比较“纯”一些,特征将数据的标签分得“纯”,则熵就小,信息增益就大。
因为
条件熵可以变形成如下:

说明:有些教材直接把最后一步
定义成条件熵,其实是一个意思,我个人觉得
这种定义式更好理解,而这个定义式可以参考李航《统计学习方法》P61 ,并不难记忆,其实条件熵就是“被特征分割以后的信息熵的加权平均”。
4、联合熵
两个变量 和
的联合熵的表达式:
5、互信息
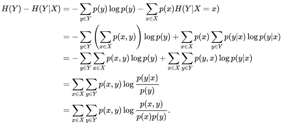
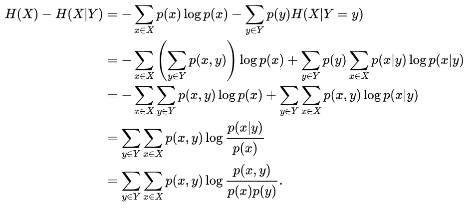
根据信息熵、条件熵的定义式,可以计算信息熵与条件熵之差:

同理

因此:定义互信息:
即:
互信息也被称为信息增益。用下面这张图很容易明白他们的关系。

信息熵、联合熵、条件熵、互信息的关系
信息熵:左边的椭圆代表 ,右边的椭圆代表
。互信息(信息增益):是信息熵的交集,即中间重合的部分就是
。联合熵:是信息熵的并集,两个椭圆的并就是
。条件熵:是差集。左边的椭圆去掉重合部分就是
,右边的椭圆去掉重合部分就是
。
还可以看出:
5、相对熵
相对熵又称 KL 散度,如果我们对于同一个随机变量 有两个单独的概率分布
和
,使用 KL 散度(Kullback-Leibler (KL) divergence)来衡量这两个分布的差异。差异越大则相对熵越大,差异越小则相对熵越小。
计算公式如下:

如何记忆:如果用 来描述样本,那么就非常完美(因为
认为是真实的情况)。而用
来描述样本,虽然可以大致描述,但是不是那么的完美,信息量不足,需要额外的一些“信息增量”才能达到和
一样完美的描述。如果我们的
通过反复训练,也能完美的描述样本,那么就不再需要额外的“信息增量”,
等价于
。即
和
的分布完全一致的时候,KL 散度的值等于
。
6、交叉熵
我是这样记忆交叉熵的定义的,通过逻辑回归的损失函数记忆交叉熵。 认为是类标,是独热编码(也可以认为是概率分布),而
认为是逻辑回归预测的概率分布。
- 交叉熵是对数似然函数的相反数。对数似然的值我们希望它越大越好,交叉熵的值我们希望它越小越好。
结论:KL 散度 = 交叉熵 - 熵 。这一点从相对熵的定义式就可以导出。
这里
就是交叉熵的定义式。
相对熵与交叉熵的关系:

参考资料
1、一文搞懂交叉熵在机器学习中的使用,透彻理解交叉熵背后的直觉
地址:
2、机器学习各种熵:从入门到全面掌握
地址:https://zhuanlan.zhihu.com/p/35423404
3、信息增益(互信息)非负性证明
地址:
4、如何通俗的解释交叉熵与相对熵?
地址: https://www.zhihu.com/question/41252833
5、相对熵(KL散度)
地址:
6、KL(kullback-Leibler-devergence)散度(相对熵)非负性
地址:
7、简单的交叉熵,你真的懂了吗?https://zhuanlan.zhihu.com/p/61944055
作者:李威威 来源:简书
链接:https://www.jianshu.com/p/2ea0406d0793

推荐阅读
数据预处理|关于标准化和归一化的一切
【干货收藏】人工智能必看的45篇论文
收藏 | 数据分析师最常用的10个机器学习算法!
7步搞定数据清洗-Python数据清洗指南
回归、分类与聚类:三大方向剖解机器学习算法的优缺点(附Python和R实现)
点赞,转发,支持作者 
