多机器人轨迹规划(2)
发布时间
阅读量:
阅读量
ur5机械臂运动学正逆解求取方法(及Python编程)
前言
提示:本文关于ur5机械臂运动学正逆解求取方法,在了解了多机器人轨迹规划的基本要素后,进一步的将多机器人轨迹规划分解多步走,将多个机器忍轨迹规划分为先进行单个机器人轨迹规划的求解。
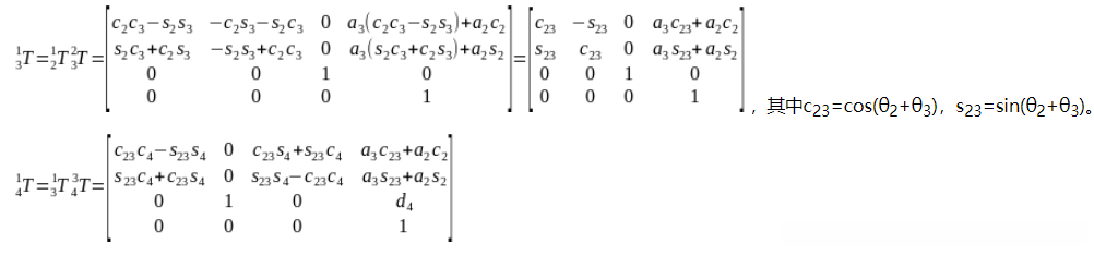
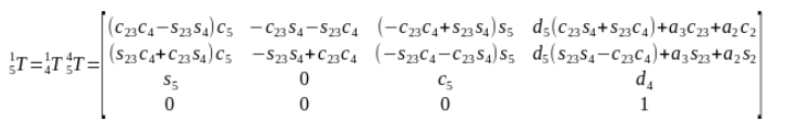
一、UR5机械臂D-H参数及正逆解求解


由此可以建立坐标系i在坐标系i-1的齐次变换矩阵,注意每次不管平移还是旋转是相对于当前的运动坐标系变换,矩阵右乘

那么把DH参数代入就可以得到所有相邻坐标系的变换矩阵

]]




所以末端坐标系6到基座固定坐标系0的变换矩阵。那么求正解就很简单了,只要输入六个关节角度θi,就得到末端坐标在基坐标系的变换矩阵T。ur机械臂的视教板上末端点的坐标是用六个值[x, y, z, rx, ry, rz]表示的。前三个值[x, y, z]是三维笛卡尔坐标,表示空间位置,后三个值[rx, ry, rz]是坐标旋转向量,表示空间姿态。我们得到的变换矩阵T怎么变成六值坐标[x, y, z, rx, ry, rz]呢?设

T的左上角的3x3矩阵是旋转矩阵,旋转矩阵和旋转向量之间可以通过罗德里格斯(Rodrigues)变换进行转换。opencv里有相应的函数调用。算法也比较简单,不用opencv的函数自己写代码也不难。T的右上角3x1就是空间位置[x, y, z]。这样有变换矩阵T得到六值坐标,完成了正解。
逆解相对要复杂一些,由末端的空间位置和姿态,计算可能的关节角度。逆解的方法有解析法,迭代法和几何法。其中解析法用数学推导,可以得到全部根,但是计算复杂。有的机械臂可以得到无穷解,比如7轴机械臂。而ur的6轴机械臂是有有限解的。这里推导一下ur的逆解。
首先计算求变换矩阵T过程其中的一些中间矩阵。



二、Python编程
1.编程步骤

网上教程较多,可自行搜索下载。
全部评论 (0)
还没有任何评论哟~
