Diffusion Model相关论文解析之(一)Denoising Diffusion Probabilistic Models
发布时间
阅读量:
阅读量
目录
- 1、摘要
- 2、创新点
- 3、主要公式
- 4、主要实现过程
1、摘要
Denoising Diffusion Probabilistic Models (DDPMs) 是一种由参数化马尔可夫链构成的概率模型,在使用变分推理的过程中完成训练任务。该过程旨在使生成的数据样本能够在限定的时间内与原始数据相匹配。该模型通过逆扩散机制逐步向样本注入噪声直至信号被完全破坏,并在此基础上实现样本的有效生成。在采样阶段中,在扩散过程仅包含少量高斯噪声的情况下,默认将其转换为条件高斯分布的形式即可实现神经网络参数化的简单构建。值得注意的是尽管该类模型具备较高的训练效率并能产出高质量样本有时甚至超越其他类型的生成模型所发布的内容但在对数似然方面相较于基于能量和得分匹配的方法则逊色一些
2、创新点
DDPM能够完成一种损失性压缩过程的分阶段操作;这种技术是一种扩展的基于自身输出逐步推断的方法。当生成图像时,该模型能够通过迭代优化来提升图像质量;这一技术的优势在于其显著的能力。
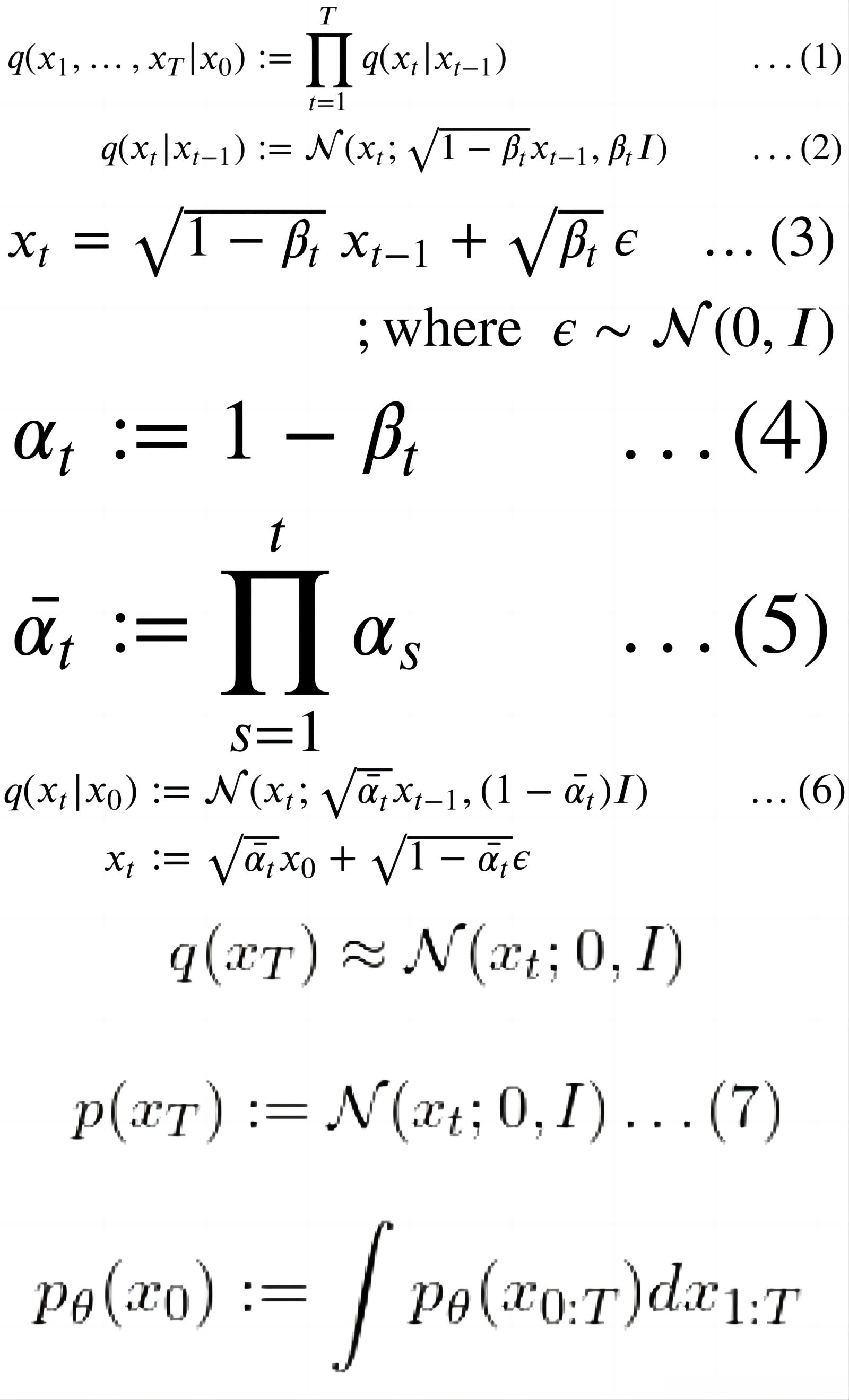
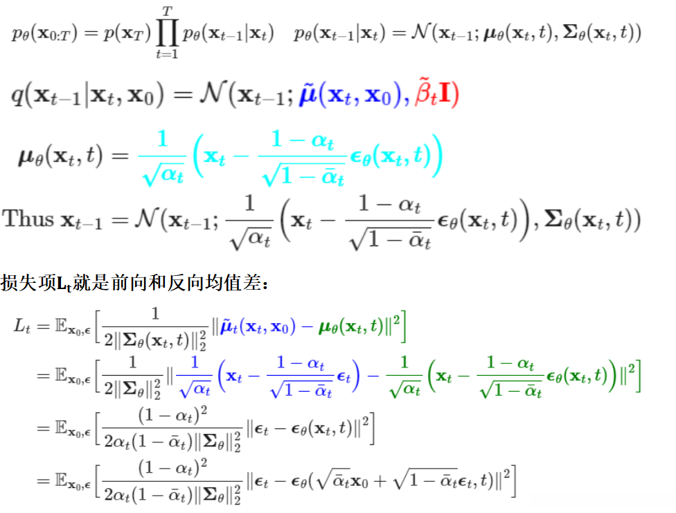
3、主要公式


4、主要实现过程

这是我对该论文代码实现过程的理解:该系统基于Unet网络结构进行噪声判别,并通过计算预测噪声与实际添加噪声之间的L1损失值和L2损失函数值来优化网络性能。
全部评论 (0)
还没有任何评论哟~
