Contrastive Learning for DeepFake Classification and Localization via Multi-Label Ranking
发布时间
阅读量:
阅读量
一、研究背景
1.已经达到性能瓶颈阶段的二分类深度伪造检测技术,在当前研究中对操纵部位的定位及排序已成为新的研究方向,并且这种排序问题等同于多标签排序问题。
2.传统的二分类技术在推广至多标签排序任务时面临诸多挑战。
二、技术路线

通过结合多实例学习方法与排序机制,在同步完成深度伪造检测的同时实现伪造位置的精确定位及排序
构建损失函数以指导预测结果的排列顺序与真实情况保持一致
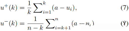
1.特征提取
- 从图片x中获取token T;随后利用该token生成patch token U和可学习的类token V。
- 经过transformer encoder \phi后,并利用自注意力机制进行特征关联。

- 计算patch token之间的相似度并排序得到u,n=N(N-1)/2。


2.MIL deepfake classification
输入为假:期望u^+趋向于1,u^-趋向于0
输入为真:期望u^+、u^-均趋向于0




输入为真时,所有实例的响应趋于为1


3.Multi-label localization and ranking

4.Total loss

五、实验结果


全部评论 (0)
还没有任何评论哟~
