数据挖掘实践指南读书笔记2
发布时间
阅读量:
阅读量

1. 写在之前
本书所包含的源程序与数据资料均可通过以下链接获取:http://guidetodatamining.com/该书的理论基础较为浅显,并且其中的错误相对较少。此外,实践练习部分较为丰富。若自行完成所有代码实现,则能获得较为显著的学习成果。综上所述,该书适合作为新手学习使用。如需转载,请注明出处,并对内容中的任何问题持开放态度。
合集的具体位置如下:https://www.zybuluo.com/hainingwyx/note/559139
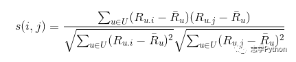
2. 基于物品的协同过滤
显示评级:显示给出评级结果(如Youtube的点赞、点差按钮隐式评级)。网站点击轨迹数据隐式地反映了用户的兴趣偏好(即基于邻居用户的推荐系统计算量非常庞大),这不仅存在延迟性问题(还存在稀疏性问题)。此外,在基于内存的方法中需要存储所有的评分记录以进行推荐操作;而在基于物品的方法中则无需存储所有评分信息(而是随时构建一个模型表示各项目之间的相似程度)。为了减少评分膨胀的影响(即避免余弦相似度因评分偏高而失真),需要对余弦相似度进行调整

U表示所有同事对i和j进行过评级的用户组合,

表示用户u对物品i的评分,

表示用户u对所有物品评分的平均值。可以获得相似度矩阵。
users3 = {"David": {"Imagine Dragons": 3, "Daft Punk": 5,
"Lorde": 4, "Fall Out Boy": 1},
"Matt": {"Imagine Dragons": 3, "Daft Punk": 4,
"Lorde": 4, "Fall Out Boy": 1},
"Ben": {"Kacey Musgraves": 4, "Imagine Dragons": 3,
"Lorde": 3, "Fall Out Boy": 1},
"Chris": {"Kacey Musgraves": 4, "Imagine Dragons": 4,
"Daft Punk": 4, "Lorde": 3, "Fall Out Boy": 1},
"Tori": {"Kacey Musgraves": 5, "Imagine Dragons": 4,
"Daft Punk": 5, "Fall Out Boy": 3}}
def computeSimilarity(band1, band2, userRatings):
averages = {}
for (key, ratings) in userRatings.items():
averages[key] = (float(sum(ratings.values()))
/ len(ratings.values()))
num = 0 # numerator
dem1 = 0 # first half of denominator
dem2 = 0
for (user, ratings) in userRatings.items():
if band1 in ratings and band2 in ratings:
avg = averages[user]
num += (ratings[band1] - avg) * (ratings[band2] - avg)
dem1 += (ratings[band1] - avg)**2
dem2 += (ratings[band2] - avg)**2
return num / (sqrt(dem1) * sqrt(dem2))
相似矩阵预测:

p(u,i)表示用户u对物品i的预测值
N表示用户u的所有评级物品中每个和i得分相似的物品。

是i和N之间的相识度

是u给N的评级结果,应该在[-1, 1]之间取值,可能需要做线性变换

得到新的评级结果为

3. ScopeOne 算法
计算偏差
物品i到物品j的平均偏差为

card(S)是S集合中的元素的个数。X是整个评分集合。

是所有对i和j进行评分的用户集合。
def computeDeviations(self):
# for each person in the data:
# get their ratings
for ratings in self.data.values(): # data:users2, ratings:{song:value, , }
# for each item & rating in that set of ratings:
for (item, rating) in ratings.items():
self.frequencies.setdefault(item, {}) #key is song
self.deviations.setdefault(item, {})
# for each item2 & rating2 in that set of ratings:
for (item2, rating2) in ratings.items():
if item != item2:
# add the difference between the ratings to our
# computation
self.frequencies[item].setdefault(item2, 0)
self.deviations[item].setdefault(item2, 0.0)
# frequemcies is card
self.frequencies[item][item2] += 1
# diviations is the sum of dev of diff users
#value of complex dic is dev
self.deviations[item][item2] += rating - rating2
for (item, ratings) in self.deviations.items():
for item2 in ratings:
ratings[item2] /= self.frequencies[item][item2]
# test code for ComputeDeviations(self)
#r = recommender(users2)
#r.computeDeviations()
#r.deviations
加权Slope预测

表示加权Slope算法给出的用户u对物品j的预测
def slopeOneRecommendations(self, userRatings):
recommendations = {}
frequencies = {}
# for every item and rating in the user's recommendations
for (userItem, userRating) in userRatings.items(): # userItem :i
# for every item in our dataset that the user didn't rate
for (diffItem, diffRatings) in self.deviations.items(): #diffItem : j
if diffItem not in userRatings and \
userItem in self.deviations[diffItem]:
freq = self.frequencies[diffItem][userItem] #freq:c_ji
# 如果键不存在于字典中,将会添加键并将值设为默认值。
recommendations.setdefault(diffItem, 0.0)
frequencies.setdefault(diffItem, 0)
# add to the running sum representing the numerator
# of the formula
recommendations[diffItem] += (diffRatings[userItem] +
userRating) * freq
# keep a running sum of the frequency of diffitem
frequencies[diffItem] += freq
#p(u)j list
recommendations = [(self.convertProductID2name(k),
v / frequencies[k])
for (k, v) in recommendations.items()]
# finally sort and return
recommendations.sort(key=lambda artistTuple: artistTuple[1],
reverse = True)
# I am only going to return the first 50 recommendations
return recommendations[:50]
# test code for SlopeOneRecommendations
#r = recommender(users2)
#r.computeDeviations()
#g = users2['Ben']
#r.slopeOneRecommendations(g)
def loadMovieLens(self, path=''):
self.data = {}
#
# first load movie ratings
#
i = 0
#
# First load book ratings into self.data
#
#f = codecs.open(path + "u.data", 'r', 'utf8')
f = codecs.open(path + "u.data", 'r', 'ascii')
# f = open(path + "u.data")
for line in f:
i += 1
#separate line into fields
fields = line.split('\t')
user = fields[0]
movie = fields[1]
rating = int(fields[2].strip().strip('"'))
if user in self.data:
currentRatings = self.data[user]
else:
currentRatings = {}
currentRatings[movie] = rating
self.data[user] = currentRatings
f.close()
#
# Now load movie into self.productid2name
# the file u.item contains movie id, title, release date among
# other fields
#
#f = codecs.open(path + "u.item", 'r', 'utf8')
f = codecs.open(path + "u.item", 'r', 'iso8859-1', 'ignore')
#f = open(path + "u.item")
for line in f:
i += 1
#separate line into fields
fields = line.split('|')
mid = fields[0].strip()
title = fields[1].strip()
self.productid2name[mid] = title
f.close()
#
# Now load user info into both self.userid2name
# and self.username2id
#
#f = codecs.open(path + "u.user", 'r', 'utf8')
f = open(path + "u.user")
for line in f:
i += 1
fields = line.split('|')
userid = fields[0].strip('"')
self.userid2name[userid] = line
self.username2id[line] = userid
f.close()
print(i)
# test code
#r = recommender(0)
#r.loadMovieLens('ml-100k/')
#r.computeDeviations()
#r.slopeOneRecommendations(r.data['1'])
#r.slopeOneRecommendations(r.data['25'])
4. 我的公众号

全部评论 (0)
还没有任何评论哟~
