数学定积分的几何应用和物理应用
发布时间
阅读量:
阅读量
目录
1.基础概念问题
1.1元素法计算面积
2.物理应用求面积和体积具体实例
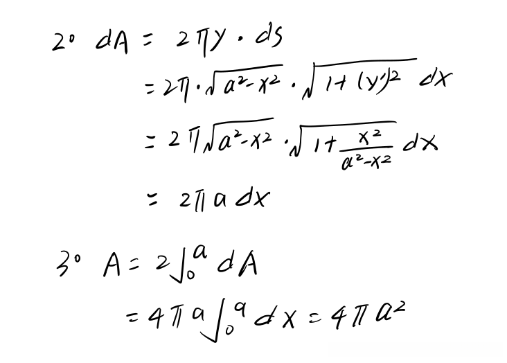
例子1:求半径为a球体的表面积
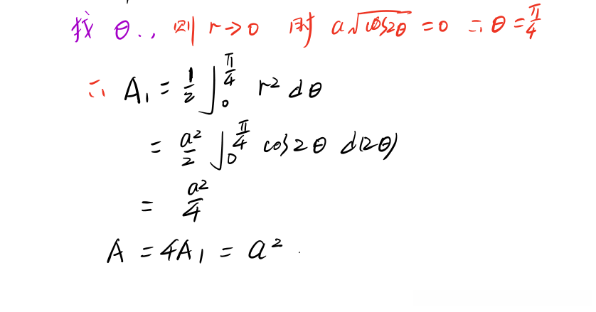
例子2:求双纽线围城的面积
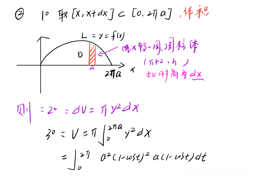
例子3:求摆线的面积和饶X轴的体积
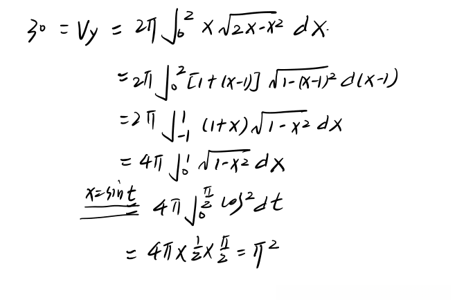
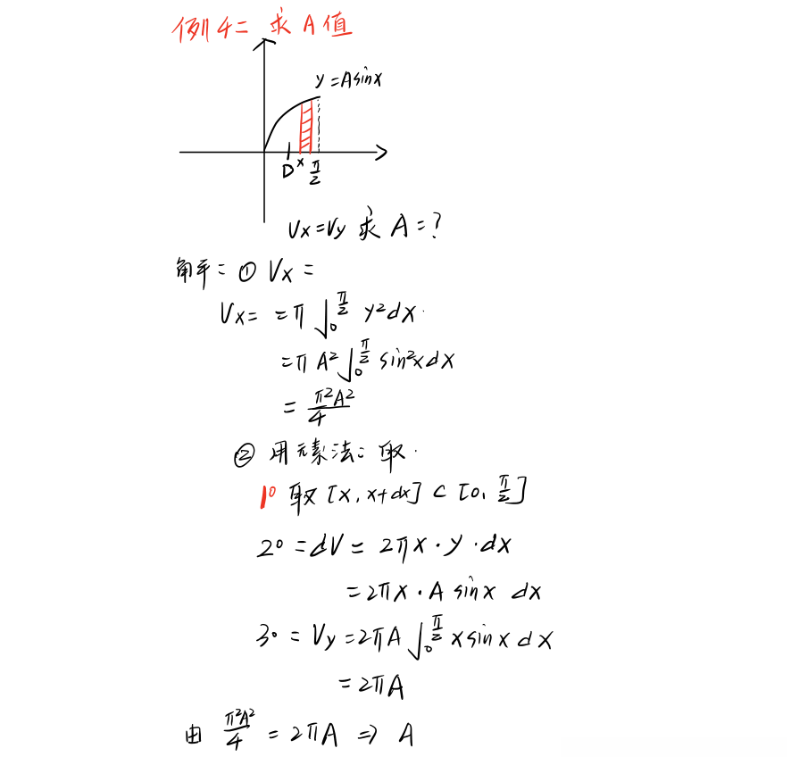
例子4:饶Y轴旋转后的体积
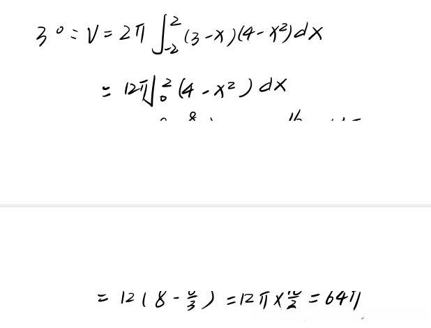
例子5:饶X = 3 旋转后的体积
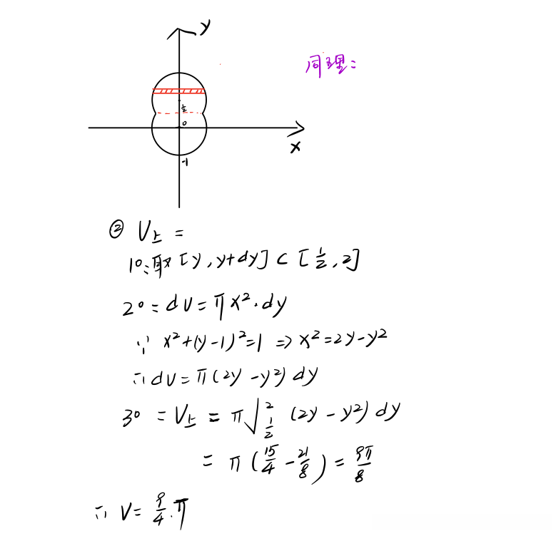
例子6:重叠圆旋转后的体积
例子7:一道真题,求饶X轴和Y轴旋转
例子8:具体问题分析
3.定积分的物理应用
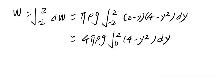
例子1:把半径为2的球体水抽干做功几何?
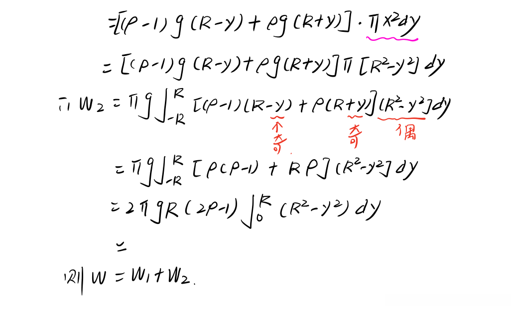
例子2:把球拉出水面做功几何?
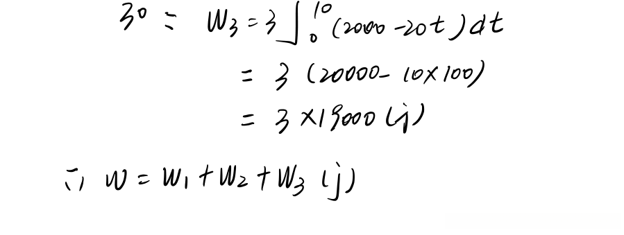
例子3:挖井问题
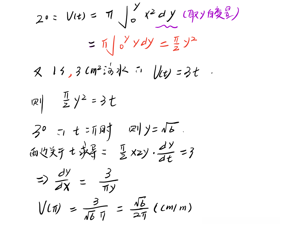
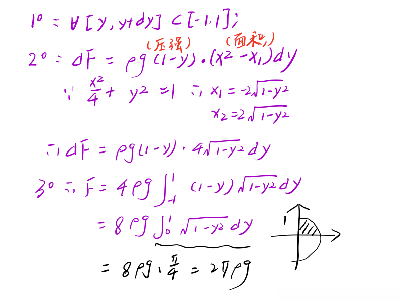
例子4:水箱,晒水车压力问题
1.基础概念问题
1.1元素法计算面积
-
情况一:极坐标下求面积

-
情况二:极坐标下求面积

-
情况三:直角坐标求面积

2.物理应用求面积和体积具体实例
例子1:求半径为a球体的表面积


例子2:求双纽线围城的面积


例子3:求摆线的面积和饶X轴的体积
-
面积


-
体积

例子4:饶Y轴旋转后的体积


例子5:饶X = 3 旋转后的体积
-
方法1:取x作为自变量


-
方法二:取y为自变量

例子6:重叠圆旋转后的体积
-
下半部分

-
上半部分

例子7:一道真题,求饶X轴和Y轴旋转

例子8:具体问题分析


3.定积分的物理应用

例子1:把半径为2的 球体水抽干做功几何?


例子2:把秋拉出水面做功几何?



例子3:挖井问题




例子4:水箱,晒水车压力问题


全部评论 (0)
还没有任何评论哟~
