杭州电子科技大学2017年攻读硕士学位研究生招生考试《数字信号处理》试题(二、计算题;第7题)
Question:
某一低通滤波器的各种指标和参量要求如下:
(1)巴特沃斯频率响应,采用双线性变换法设计;
(2)当
时,衰减小于
;
(3)当
时,衰减大于或等于
;
(4)采样频率
。
试确定系统函数
,并写出详细设计步骤。
附:(1)巴特沃斯归一化低通滤波器分母多项式
的系数
| N | ![]() |
![]() |
![]() |
|---|---|---|---|
| 1 | 1 | ||
| 2 | 1.414 | ||
| 3 | 2 | 2 | |
| 4 | 2.613 | 3.414 | 2.613 |
(2)巴特沃斯低通滤波器幅度平方函数为

Answer:
注:该答案参考刘顺兰、吴杰编著的《数字信号处理》(第三版)的第180页巴特沃斯低通逼近和第194页的双线性变换法设计IIR数字滤波器的步骤进行编写。
为区分采样频率与阻带截止频率,记后者的相关变量为
、
、
。
(1)题干给定的指标为模拟域转折频率(通、阻带截止频率)
、
和采样频率
,需要进行频率预畸变 。
确定数字滤波器的转折频率
、
:


对频率预畸变,得到预畸变后的模拟滤波器转折频率
、
:


(2)根据
、
等指标设计巴特沃斯模拟滤波器的系统函数
。
确定滤波器的阶次
:
N=\left \lceil \frac{\lg(\frac{10^{A_{p}/10}-1}{10^{A_{s}/10}-1})}{2\lg(\Omega_{p}/\Omega_{ss})} \right \rceil =\left \lceil \frac{\lg(\frac{10^{3/10}-1}{10^{40/10}-1})}{2\lg(\15.7/400)} \right \rceil =\left \lceil 1.4 \right \rceil=2
确定滤波器的截止频率
:
为了在
精确地满足指标要求,

为了在
精确地满足指标要求,

在上面两个数之间可任选
值,现选
。
根据滤波器的阶次
可得巴特沃斯归一化低通滤波器的系统函数
如下:

则待设计的系统函数
如下:

(3)根据求得的系统函数
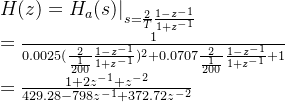
得到数字滤波器的系统函数
。

后言: 设计得到的数字滤波器的零极点图如下,可以确定为稳定的低通滤波器,但是否满足通阻带衰减指标就偷懒不算了。

这题没计算器是几乎不太可能手算出这些参数的,而最后的化简没MATLAB也是极其耗时的,着实令人费解出题人如此出题的意义何在,只能寄希望于改卷人大手一挥多给点分;但是不可否认的是,应掌握具体的设计步骤和使用到的几条关键公式。



