精准靶向代谢组学靶向定量分析实验技术服务实验
发布时间
阅读量:
阅读量
一、实验原理
靶向蛋白组学定量技术主要包括MRM(multiple reaction monitoring)和PRM(parallel reaction monitoring)。MRM也称为SRM(selected reaction monitoring),使用三重四级杆质谱(QQQ-MS)对符合目标离子规则的信号进行采集,从而实现目标蛋白质的相对或绝对定量。PRM衍生于MRM,结合了四级杆的高选择性以及Orbitrap的高分辨和高精度的特性,在对选定的母离子进行裂解后会测量所有的碎片离子,具有更好的检测灵敏度和抗干扰能力。
靶向方法包检测EIC图
二、实验介绍
一种高度灵敏的方法,能够以高定量准确度、精确度和特异性对复杂基质中的数百个蛋白质靶标进行定量。通过LC-ESI-QQQ仪器检测特定指标的绝对、相对含量。其相比于高分辨率质谱有更高的灵敏度及更好的重复性。
三、样品要求
常见样品包括细胞样品、组织样品和体液样品。细胞样品包括动物细胞、植物细胞和真菌、细菌等微生物细胞,组织样品包括动物组织和植物组织,体液样品包括血清、血浆和尿液等。此外,蛋白质组学研究的样品可以是来自蛋白质胶点、胶条、IP或Co-IP样品、石蜡包埋样品、外泌体、亚细胞等等。
四、检测项目
常见检测项目

五、注意事项
代谢检测样品收集过程非常关键,请按照公司样品收样建议收样。特殊样品及样品量不足情况请提前联系公司技术咨询。客户检测特定指标,需要提供指标的CAS号,以防止检测错误。
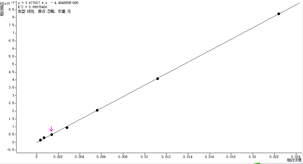
六、实验图示例

定量谱图

定量检测标曲
全部评论 (0)
还没有任何评论哟~
