Computer Vision: Algorithms and Applications(学习笔记二)--geometric transformations
2D变换

平移变换(translation):对于2D基元的平移变换为:

其中
为2×2的单位矩阵,则公式可理解为对于坐标点
的加减变换:

为满足两端的变量的齐次性,也可写作:

欧氏变换(Euclidean):在平移变换的基础上加上旋转:


其中R维护正交矩阵,即满足
。
相似变换(similarity):在欧氏变换的基础上加上全局尺度因子:


仿射变换(affine):在相似变换的基础上具有两个尺度因子,在主方向和次方向具有不同的尺度因子:

投影变换(projective):也成为透视变化或同态变化:

其中
是任意的一个3×3矩阵,而且对应的是二维变化,是齐次的,故对于不同尺度量的
是等同的,得到齐次的
需要经过正常化处理,即:

总结常用2D变换表如下:

上述变换均可用于2D平面上的坐标点,是否可以直接应用于变换直线方程,对于齐次方程
,可推导:

故上述2D变换可直接用于2D直线的齐次表达变换。
拉伸/挤压(stretch/squash):改变图像的长宽比,一种仿射变换的受限形式,未旋转的仿射变换:

3D变换
3D坐标变换几何与2D变换的情形非常相似,如下表:

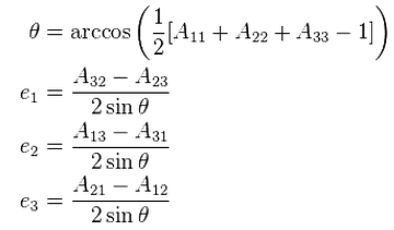
3D旋转
欧拉角(Euler angles):旋转矩阵是由围绕三个基轴的三个旋转的乘积形成的,即
轴,旋转角为
,则三次旋转矩阵为:

乘积得到旋转矩阵为:

欧拉角是旋转三次,旋转的次序会对结果产生影响,并且会出现万向节死锁问题(http://v.youku.com/v_show/id_XNzkyOTIyMTI=.html),不是很好用。
轴/角(axis/angle):轴/角是将三维旋转看作绕特定的轴
旋转一次角度为
,与旋转矩阵的关系为:


则旋转矩阵可以求解:

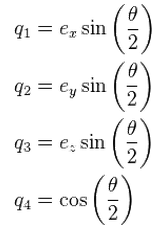
单位四元组(unit quaternions):单位四元组与轴/角原理相同,只是将轴/角表达为一个四维的单位矢量,写作
,其中:


在选择表达方式时,一般根据应用选择。轴/角比较直观,容易理解,但是需要是动态表达,四元组没有不连续性,一般优先选择。
3D到2D投影

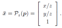
正交投影(orthography):正交投影是舍弃三维坐标的
分量得到二维坐标。使用齐次坐标可以写作:

归一的正交投影(scaled orthography):为了简化计算,将物体投影在不同的平行于图像平面的不同参考面上。
类透视投影(para-perspective):可以理解为分两步进行,第一步是在归一化的正交投影基础上,局部参考面的投影使用平行于物体中心的视线进行投影(图中实线部分),第二步再按照正常的投影方式(相似变换)投影到最终的图像平面上。这种投影的好处是比归一化的正交投影精度高,也不需要透视投影的除法增加计算复杂性。这两步组合可看作仿射变换。
透视投影(perspective):就是常见的透视现象,使得离摄像机近的物体投影后较大,而离摄像机较远的物体投影后较小。故可用视锥体表示:

为了方便推到,一般将是锥体搬到一个统一标准的立方体中进行计算,满足
,如图所示:

此时投影到
的平面上,则依照比例关系得到点坐标为:

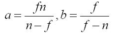
由于使得离摄像机近的物体投影后较大,而离摄像机较远的物体投影后较小,则最终值与 的倒数成线性关系,则表示为:

又有 z 的近截面Near和远截面Far范围缩小为0到1,故有公式:
解得:

又有 x 与 z 的反比参数为视角的余切值,投影平面的纵横比为Aspect,则最终投影变换公式为:

