17-WILDCAT-Weakly-Supervised-Learning-of-DeepConvNets
who(对谁有效)
- 弱监督
- 图像语义分割
where
- 只有图像级标签的数据
when
- CVPR 2017
what(WILDCAT是什么)
-
这篇论文提出了一个框架,可以使用弱监督的方法识别一个物体显著的局部特征。
-
首先我们来直观感受下结果,如下图所示,WILDCAT可以识别狗的头部和腿部信息,从而利用这些信息来对狗进行Localization和segmentation.

-
结构

-
从上图我们可以看出,整个网络的架构分成三个部分:最左边是FCN部分,主要是用来提取feature map; 中间的部分是Multi-map transfer layer,主要是将feature map分解为多通道的特征,每个通道对应于一个显著的局部特征;最右边是Pooling操作,主要是将生成的多通道feature map aggregate 到一个值,最后使用image level的ground truth信息进行学习。下面来分别讲解这三个部分。
how (如何实现的)
1. Multi-map transfer layer
这篇文章使用1x1convolution将feature map由w x h x d 转变成 w x h x MC。 其中M代表通道的数目,代表feature map的个数; C表示类别数。

2. WILDCAT Pooling
由于我们的ground truth是image label,所以需要将transfer layer的信息aggregate到image level。这个Pooling层共有两种操作:1)class-wise pooling 2)spatial pooling。
- Class-wise pooling 是针对每类,将不同通道的feature map 合成一个,其公式如下,其将w x h x MC 转变为 w x h x C。

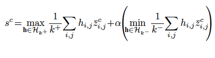
Spatial pooling
* 这个Pooling有点意思,在某种意义上,它是一种general 的Pooling。是一种介于max Pooling和average Pooling之间的操作,除此之外,它还结合了 “negative evidence insight”,即使用了激活值比较低的值。其公式如下所示。其中, $K^{+}$ 表示激活值最高的k个值。$K^{-}$ 表示激活值最低的k个值。所以,最后的值与激活最高的k个值和激活最低的k个值相关,并且最后取平均数。所以,可以看出这个操作是2k个激活值的平均值。当然,α可以调节最高激活值和最低激活值之间的比例。

最后我们可以使用这个网络直接训练分类任务。同时,对于弱监督的Localization/detection, 作者使用spatial Pooling 前面的class-level feature map来生成Localization/detection的结果,使用的方法与论文Weakly supervised Localization using deep feature maps的方法类似。对于弱监督的semantic segmentation, 作者使用每个类中激活最大的值或者使用CRF最为最终的预测,方法和论文Semantic Image Segmentation With Deep Convolutional Nets and Fully Connected CRFs类似。
why(为什么重要)
M模型化旨在专注于不同类别的特征,
multi-map传输模型可以找到更多的一般特征;
标准的max-pooling方法只能获得一个元素;我们可以获得更多;
我们聚集最小化分数区域来支持分类;
最小化和最大化区域对于结果来说都很重要,但是重要性不一样,我们加入 \alpha来加权;
对于全局平均池,两个层的顺序并不重要,但是这两个配置在非线性池功能行为可能不同,例如wildcat spatial pooling,当 k^{+} + k^{-}很小时,这种差异化尤其严重。
