Cascade Feature Aggregation for Human Pose Estimation
发布时间
阅读量:
阅读量
这篇论文在2019CVPR顶会中获得了最高评价,在单人姿态估计领域基于MPII数据集取得了PCKh@0.5评测指标排名第一。

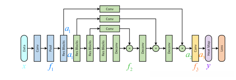
如图所示,本研究中提出了一种CFA结构。该结构由多个沙漏网络通过元素求和的方式构成,在每个阶段的沙漏网络均能实现对特征图的预测能力,并且其中上一层层输出将作为下一层层输入的基础进行传递。

该编码器架构以残差网络为基础。该模型采用编码器-解码器架构设计,在编码阶段利用残差网络作为核心组件。
Cascade Feature Aggregation

该图形展示了CFA模型在不同阶段的整合表示方法。各不同阶段呈现出三类独特的特征融合模式,在这一过程中可以通过输入聚合能够提供丢失预测点的局部细节信息,并支持后续预测步骤;同时通过特征集合模块将高层语义信息传递至输入层;此外基于预测融合机制的应用场景下,能够有效提升整体预测结果的稳定性

热图的融合。最终的热图是由最后几次热图预测的平均值得到的。
Experiments:









列举了该方法的一些失败案例。值得注意的是,在存在光照复杂性、较低分辨率以及运动模糊等场景时,因训练数据中缺乏这些类型的数据样本而导致该方法的性能表现受到影响。
Conclusions:本文开发了一种新型人体姿态估计算法——CFA方法。该算法通过多级沙漏网络融合低频、中频和高频特征来进行有效特征提取。此外,在第一阶段采用了ResNet-101模型作为基础模块,并结合后续阶段中的ResNet-50进行优化设计;这种设计使得系统既保证了较高的识别精度又提升了整体计算效率;实验结果表明数据多样性对于提升系统性能具有关键作用
#本人目前会整理2019顶会中姿态估计的笔记整理,有需要的笔者可以关注喔~
全部评论 (0)
还没有任何评论哟~
