DNDC模型在气候变化背景下农田土壤碳储量变化趋势的预测
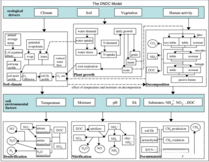
DNDC模型,全称为反硝化-分解模型(Denitrification-Decomposition Model),是一个用于模拟农田、草地和森林等生态系统中碳和氮的生物地球化学循环过程的模型。该模型在生态学和农学研究中具有重要意义,因为它可以帮助科学家们预测生态系统对不同管理策略和环境变化的响应。
DNDC模型考虑了土壤-植被-大气之间碳和氮的交互作用,以及这些元素在生态系统中的循环和转化过程。它综合考虑了气候、土壤性质、植被类型、管理措施等多种因素对碳氮循环的影响。模型中的参数可以通过实际观测数据进行校准,以提高模拟的准确性。
DNDC模型的核心组成部分包括分解、硝化、反硝化、植物吸收、氨挥发等子模型。这些子模型分别描述了不同碳氮转化过程的动力学机制,并通过一系列数学方程进行量化表达。模型还考虑了不同土层之间的物质交换和垂直运动,以及生态系统与大气之间的气体交换过程。
DNDC模型的应用范围广泛,可以用于评估不同农业管理措施对土壤碳氮动态的影响,预测气候变化对生态系统碳氮循环的潜在影响,以及优化生态系统的管理策略以提高土壤肥力和减少温室气体排放。此外,该模型还可以与其他生态模型相结合,以更全面地研究生态系统的结构和功能。
总的来说,DNDC模型是一个强大的工具,用于研究生态系统中的碳氮循环过程及其对环境变化的响应。通过该模型,我们可以更好地理解生态系统的运作机制,为制定科学的生态管理策略提供有力支持。
DNDC模型,全称为反硝化-分解模型(Denitrification-Decomposition Model),是一个用于模拟农田、草地和森林等生态系统中碳和氮的生物地球化学循环过程的模型。该模型在生态学和农学研究中具有重要意义,因为它可以帮助科学家们预测生态系统对不同管理策略和环境变化的响应。
DNDC模型考虑了土壤-植被-大气之间碳和氮的交互作用,以及这些元素在生态系统中的循环和转化过程。它综合考虑了气候、土壤性质、植被类型、管理措施等多种因素对碳氮循环的影响。模型中的参数可以通过实际观测数据进行校准,以提高模拟的准确性。
DNDC模型的核心组成部分包括分解、硝化、反硝化、植物吸收、氨挥发等子模型。这些子模型分别描述了不同碳氮转化过程的动力学机制,并通过一系列数学方程进行量化表达。模型还考虑了不同土层之间的物质交换和垂直运动,以及生态系统与大气之间的气体交换过程。
DNDC模型的应用范围广泛,可以用于评估不同农业管理措施对土壤碳氮动态的影响,预测气候变化对生态系统碳氮循环的潜在影响,以及优化生态系统的管理策略以提高土壤肥力和减少温室气体排放。此外,该模型还可以与其他生态模型相结合,以更全面地研究生态系统的结构和功能。
总的来说,DNDC模型是一个强大的工具,用于研究生态系统中的碳氮循环过程及其对环境变化的响应。通过该模型,我们可以更好地理解生态系统的运作机制,为制定科学的生态管理策略提供有力支持。
了解全文点击:《DNDC模型在气候变化背景下农田土壤碳储量变化趋势的预测》
目录
-
- 一、DNDC模型介绍
- 二、DNDC初步操作
- 三、遥感和GIS基础
- 四、DNDC气象数据
- 五、DNDC土地数据
- 六、DNDC土壤数据
- 七、DNDC结果分析
- 八、DNDC率定验证
- 九、土壤碳储量与作物产量
- 十、温室气体排放分析
- 十一、农田减排潜力分析
- 十二、土地变化下的DNDC模拟
- 十三、气候变化下的DNDC模拟
一、DNDC模型介绍
1.1 碳循环模型简介
1.2 DNDC模型原理
1.3 DNDC下载与安装
1.4 DNDC注意事项

二、DNDC初步操作
2.1 DNDC界面介绍
2.2 DNDC数据及格式
2.3 DNDC点尺度模拟
2.4 DNDC区域尺度模拟
2.5 DNDC结果查看

三、遥感和GIS基础
3.1 DNDC中的遥感和GIS技术
3.2 ArcGIS软件界面
3.3 坐标系与坐标变换
3.4 区域地块的数字化
3.5 ArcGIS数据处理

四、DNDC气象数据
4.1 DNDC气象数据调用
4.2气象数据资源与下载
4.3 DNDC气象数据制备
4.4 太阳辐射数据的计算
4.5 GLDAS数据显示与读取
4.6 气象站点泰森多边形分析

五、DNDC土地数据
5.1 遥感技术简介
5.2 ENVI软件界面
5.3 遥感图像获取与显示
5.4 遥感图像处理
5.5土地利用遥感解译
5.6 遥感影像地块数字化
5.7 定量遥感与土地类型提取
5.8 土地利用遥感产品下载与处理

六、DNDC土壤数据
6.1 土壤数据原理
6.2 SPAW软件土壤质地制备
6.3 土壤类型数据处理
6.4 土壤粒径组成与参数库查询
6.5 SPAW软件土壤参数计算
6.6 HWSD土壤数据处理

七、DNDC结果分析
7.1 DNDC单点结果统计
7.2 DNDC区域结果统计
7.3 DNDC区域结果的地块显示
7.4 DNDC区域结果的空间插值
7.5 DNDC区域结果地图制作

八、DNDC率定验证
8.1 率定验证原理
8.2 参数率定实现
8.3 率定验证的判断
8.4 参数敏感性分析析 
九、土壤碳储量与作物产量
9.1 土壤碳储量分析
9.2 土壤含水量分析
9.3 土壤温度分析
9.4 作物产量分析

十、温室气体排放分析
10.1 二氧化碳分析
10.2 甲烷分析
10.3 氧化亚氮分析

十一、农田减排潜力分析
11.1 双碳目标与碳减排措施
11.2 DNDC减排潜力模拟

十二、土地变化下的DNDC模拟
12.1 土地利用变化与碳排放
12.2 土地利用变化的转移矩阵分析
12.3 土地利用变化情景分析
12.4 未来土地利用预测
12.5 土地利用变化下的DNDC模拟

十三、气候变化下的DNDC模拟
13.1 CMIP6数据简介
13.2 CMIP6数据下载
13.3 CMIP6数据显示
13.4 CMIP6数据转DNDC气象数据
13.5 未来气候变化下的DNDC模拟

